#spss19.0中文版简介
IBM SPSS Statistics 19是一款功能全面的统计分析软件,专为行业应用设计,强调易用性、成熟方法和交互性。它支持数据分析全流程,包括数据获取、管理、分析与报告生成,广泛应用于自然科学、社会科学和技术领域。SPSS 19新增多项特性,如广义线性模型和增强的图形构建器,提供更专业的图表展示。软件支持多种数据格式(如Excel、Access、SAS等),并可通过ODBC接口连接数据库。其聚类分析功能强大,包含最短距离法、组间联接法和Ward法等,适用于探索数据模式和特征。SPSS界面友好,支持多语言切换,输出结果清晰,适合研究者快速生成高质量报表和图表。
SPSS19.0中文版破解安装说明
1、在本站下载IBM SPSS Statistics 19安装程序和破解补丁,将其解压,然后双击运行“spss19cn”文件夹下面“SPSS_Statistics_19.exe”安装程序,开始安装软件,点击“下一步”




4、选择安装目录,这里不要更改,直接默认下一步安装


5、安装过程大概一两分钟左右,稍等一下就可以。安装完成后,暂时不勾选注册。点击取消,退出程序。


7、这里安装目录默认就可以了,依次下一步


9、最后就是测试破解是否成功了,如图,已经可以正常使用,快去新建自己的第一个数据集吧
功能全面的统计分析软件
SPSS Statistics非常全面地涵盖了数据分析的整个流程,提供了数据获取、数据管理与准备、数据分析、结果报告这样一个数据分析的完整过程。
特别适合设计调查方案、对数据进行统计分析,以及制作研究报告中的相关图表。
对于阅读统计分析报告的用户来讲,也已经非常熟悉由SPSS Statistics软件制作完毕的图表。
快速、简单地为分析准备数据
在您进行数据分析之前,需要根据分析目的及分析技术,对数据进行准备和整理工作。
SPSS Statistics内含的众多技术使数据准备变得非常简单。不同于其他统计分析软件,您不需要为了完成重要的数据准备工作购买其他产品。
SPSS Statistics给出变量值的列表,以及值的数量,您能够根据这些添加信息。一旦建立了数据词典,您可以使用“拷贝数据属性”工具,更快地为分析作数据准备。
SPSS Statistics可以同时打开多个数据集,方便研究时对不同数据库进行比较分析和进行数据库转换处理。
软件提供了更强大的数据管理功能帮助用户通过SPSS Statistics使用其它的应用程序和数据库。
支持Excel、文本、Dbase 、Access、SAS等格式的数据文件,通过使用ODBC(Open Database Capture)的数据接口,可以直接访问以结构化查询语言(SQL)为数据访问标准的数据库管理系统,通过数据库导出向导功能可以方便地将数据写入到数据库中等等。SPSS Statistics支持超长变量名称(64位字符),这不但方便了中文研究需要,也达到对当今各种复杂数据仓库更好的兼容性,您可以直接使用数据库或者数据表中的变量名。
即时切换多国语言界面的统计分析软件,中文界面清晰友好
SPSS软件界面操作语言齐备,使用者可以自行设置英文或简体中文操作界面。
在国内统计应用中,很多使用者在学习时会遇到英文统计专业名词的困难,因此很希望软件有中文版。
SPSS可以自行切换软件语言界面,很好地满足了很多人希望使用中文版的要求。
SPSS软件的中文界面具有清新、友好的中文界面;全新的中文帮助文档,使使用者的学习更轻松;具有简洁、清晰的中文输出,结果一目了然,共享和发表结果更方便。
使用全面的统计技术进行数据分析
除了一般常见的摘要统计和行列计算,SPSSStatistics还提供了广泛的基本统计分析功能,如数据汇总、计数、交叉分析、分类、描述性统计分析、因子分析、回归及聚类分析等,并且,逐渐加入了针对直销的各种模块,方便市场分析人员针对具体问题的直接应用。
新增的广义线性模型(GZLMs)和广义估计方程(GEEs)可用于处理类型广泛的统计模型问题;使用多项Logistic回归统计分析功能在分类表中可以获得更多的诊断功能
用演示图表清晰地表达分析结果
高分辨率、色彩丰富的饼图、条形图、直方图、散点图、三维图形以及更多图表都是 SPSS Statistics中的标准功能。
SPSSStatistics提供了一个全新的演示图形系统,能够产生更加专业的图片。它包括了以前版本软件中提供的所有图形,并且提供了新功能,使图形定制化生成更为容易,产生的图表结果更具有可读性。
SPSS软件进一步增强了高度可视化的图形构建器的功能,该演示图形系统使您更容易控制创建和编辑图表的时间,大大减少了工作量,并且,您可以一次创建一个图或表,然后使用作图模板以节省时间。
同时PDF格式的输出功能,能够让用户更好地同其它人员进行信息共享。
多维枢轴表使结果更生动,在SPSSStatistics软件中,用户可以在一个重叠图中基于不同的数值范围建立两个独立的Y轴。
通过对行、列和层进行重新排列,浏览您的表格。找到在标准报表中可能会丢失的重要查找结果。
拆分表,一次仅显示一组,从而可以更容易地对各组进行比较。
ibm spss聚类分析说明
1.1 系统聚类
本次实验的系统聚类都是凝聚系统聚类,为了控制变量,都采用平方Euclidean距离。
1.1.1 最短距离聚类法
最短距离法聚类步骤如下:
规定样本间的距离,计算样本两两之间的距离,得到对称矩阵。开始每个样品自成一类。
选择对称矩阵中的最小非零元素。
将两个样品之间最小距离记为D1,将这两个样品归并成为一类,记为G1。
计算G1与其他样品距离。重复以上过程直到所有样品合并为一类。
我们在SPSS中实现最短距离分析非常简单。
单击“
”-->“
” -->“
”。
将弹出如图1-1所示的对话框,设置相应的参数即可。

图1-1最短距离法
我们的数据已经做过标准化,在“转化值”-->“标准化”选项上选无。
在统计量的聚类成员中选择“无”,因为这是非监督分类,不需要指定最终分出的类个数。
在绘制中选择绘制“树状图”。单击确定,得到以下结果。
表1-1显示了数据的缺失情况:

我们的数据经过预处理,所以缺失值个数为0.
2.由于相关矩阵过于庞大,无法在文档中贴出,得到的是一个非相似矩阵。表1-2是样品聚类过程。
样品21和28在第一步合并为一类,它们之间的非相关系数最小,为0.211。
在下一次合并是第十步。在第五步的时候,样品2、27、14组成一类,出现群集,样品个数为3。
如上类推,可以解释表格。



表1-2 聚类过程
我们可以通过更加形象直观的树状图来观察整个聚类过程和聚类效果。
如图1-2所示,最短距离法组内距离小,但组间距离也较小。
分类特征不够明显,无法凸显各个省份的能源消耗的特点。
但是我们可以看到广东省能源消耗组成和其他省份特别不同,在其他方法中也显现出来。

图1-2
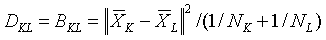
1.1.2 组间联接聚类
组间联接聚类法定义为两类之间的平均平方距离,即

。
类CK和CL合并为下一步的CM则CM与CJ距离的递推公式为:
。
我们依然贴出组间联接法的聚类表和树状图。
聚类表如表1-3所示,相关解释类似于表1-1所述。
2.树状图如图1-3所示,可以看到聚类的组间距离较大,组内距离较小。聚类结果较为理想。
可以看到海南与青海,宁夏自治区,重庆市的能源消耗特点近似,北京、上海两地能源消耗特点也近似。
江浙两地亦然。
最后广东和各地能源消耗特点都不同。

1.1.3 Ward法聚类
Ward即离差平方和法。它的思想是,同类离差平方和较小,类间偏差平方和较大。
Ward方法并类时总是使得并类导致的类内离差平方和增量最小。
公式:
递推公式:
我依然贴出ward法聚类表和树状图。
聚类表如表1-4所示,相关解释类似于表1-1所述.